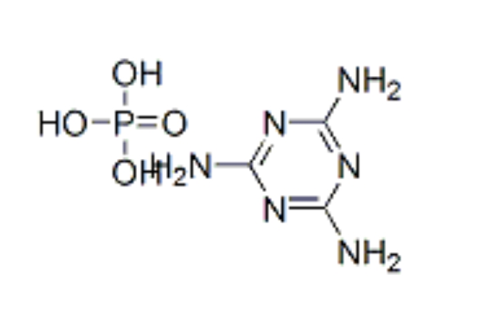
- Melamine-phosphate CAS No.: 41583-09-9
- Chemical Name: Melamine-phosphate
- Synonyms: SLFR-7;Einecs 255-449-7;MELAMINE PHOSPHATE;Melamine Phosphate(FR-MP);triazine triamine phosphate;INTUMESCENT COMPOUND KE 8000;(56386-64-2) melamine-phosphate;1,3,5-Triazin-2,4,6-triaminphosphat;Melamine-phosphate ISO 9001:2015 REACH;1,3,5-triazine-2,4,6-triamine phosphate
- CBNumber: CB1212567
- Molecular Formula: C3H9N6O4P
- Molecular Weight: 224.12
- Melting point: 120 – 122°C
- Density: 1.74
- Solubility: DMSO (Slightly), Methanol (Slightly)
- Water Solubility: 3.9g/L at 20℃
- Boling Point: 557.5°C at 760 mmHg
- Flash Point: 325.3°C
- Vapor Pressure: 1.82E-12mmHg at 25°C
- Appearance: Crystalline powder
- Storage Condition: Room Temperature
- Use: Environmental protection type non-halogen flame retardant
We hope you found this article insightful! Feel free to share your thoughts or questions in the comments below—we’d love to hear from you.
As A professional manufacturer of Melamine Phosphate , we’re here to provide tailored solutions for your needs. Don’t hesitate to contact us with your inquiries or reach out directly. Let’s work together to create safer and more sustainable materials!

Leave A Comment
You must be logged in to post a comment.